Que cherchez-vous?
51 Résultats pour : « Portes ouvertes »

L'ÉTS vous donne rendez-vous à sa journée portes ouvertes qui aura lieu sur son campus à l'automne et à l'hiver : Samedi 18 novembre 2023 Samedi 17 février 2024 Le dépôt de votre demande d'admission à un programme de baccalauréat ou au cheminement universitaire en technologie sera gratuit si vous étudiez ou détenez un diplôme collégial d'un établissement québécois.

Événements à venir
20 mai 2026 à 12:00
Génie de la construction Recherche et innovation Les infrastructures et les milieux bâtis

Dommages dus aux séismes : revoir les exigences non structurelles

Représentation d'un sismographe capturant les vibrations sismiques sous forme de tracés graphiques sur du papier quadrillé.

Sommaire

Au cours des dernières décennies, de nombreux séismes, comme celui qui a frappé Sparta, en Caroline du Nord, en 2020 (magnitude 5,1), ont causé des dommages importants aux composants non structuraux (CNS), notamment aux plafonds suspendus, aux refroidisseurs CVC et aux systèmes de tuyauterie. Ces dommages représentent de 70 % à 85 % du total des pertes matérielles. Les codes de conception établissent des exigences parasismiques afin de protéger les CNS contre de tels dommages. Cependant, ces exigences ne tiennent pas compte du comportement non linéaire combiné des structures de soutien ni des niveaux de ductilité des fixations en conditions sismiques. Au contraire, les codes sont fondés sur des facteurs de modification de réponse (Rp) simplifiés, dérivés principalement d'un jugement technique plutôt que d'une validation analytique complète. Notre recherche nous a permis d'élaborer des facteurs d'amplification d'accélération maximale pour les composants ductiles (Ar/Rp), grâce à l'analyse dynamique temporelle de bâtiments en béton armé soumis à des enregistrements correspondant aux risques sismiques de Montréal. Notre étude démontre que la ductilité des fixations des composants et la non-linéarité structurelle réduisent considérablement les exigences en accélération sismique imposées aux CNS. Ces données pourraient servir à améliorer les dispositions réglementaires actuelles et à concevoir des ancrages économiques, sans compromettre la sécurité sismique.

Mots clés : Composants non structuraux · Inélasticité des fixations de composants · Facteurs de modification des forces selon la ductilité · Analyse dynamique incrémentale · Non-linéarité structurelle · Fragilité sismique 

Les composants non structuraux et leur importance

Les éléments de construction qui ne font pas partie des systèmes de résistance aux charges latérales ou des éléments porteurs soumis aux forces gravitationnelles sont appelés « composants non structuraux » (CNS) et sont également connus au Canada sous le nom de « composants fonctionnels et opérationnels » (CFO). Les CNS comprennent les éléments architecturaux (revêtements extérieurs, cloisons, plafonds), les systèmes mécaniques et électriques (équipements CVC, refroidisseurs, chaudières, transformateurs), les systèmes de plomberie et de protection contre les incendies (tuyauterie, gicleurs) et le contenu des bâtiments (mobilier, équipements). Comme les CNS représentent entre 70 % et 85 % de la valeur de remplacement des bâtiments (Taghavi & Miranda, 2003), leurs défaillances sismiques entraînent d'importantes pertes financières, des interruptions d'activité et une perte de fonctionnalité.

Limites du code de conception et raison de la recherche

La plupart des normes, comme le Code national du bâtiment du Canada (CNB 2020), sont fondées sur des facteurs de modification de la réponse des composants (Rp) pour tenir compte de la ductilité des fixations des CNS et de leur capacité de dissipation d'énergie. Ces facteurs varient de 1,0 à 5,0 : le CNB spécifie un Rp = 2,50 pour les plafonds suspendus, un Rp = 1,25 pour les composants rigides des machines et un Rp = 2,50 pour les composants flexibles des machines. Or, ces valeurs sont principalement dérivées d'un jugement technique plutôt que d'une validation analytique complète. De plus, elles restent constantes indépendamment de la ductilité réelle de la fixation ou de la réponse non linéaire de la structure porteuse pendant les séismes (Anajafi, 2018 ; ATC, 2018 ; Villaverde, 2006 ; T. Wang et al., 2021). 

Élaborer des facteurs liés à la demande en ductilité

Pour pallier ces limites, nous avons analysé quatre bâtiments à ossature en béton armé résistants aux moments avec une ductilité limitée (3, 6, 9 et 12 étages) et des plans carrés réguliers. Chaque plan comprend trois travées de 7 mètres dans chaque direction, conçues par Mazloom (2023) conformément aux dispositions du CNB 2015 et de la norme CSA-A-23.3-14. Les CNS sont modélisés comme systèmes à un seul degré de liberté avec quatre niveaux de ductilité des attaches : attaches élastiques (μ = 1,0), faible ductilité (μ = 1,25), ductilité modérée (μ = 1,5) et haute ductilité (μ = 2,0), fixées aux structures de soutien au niveau du toit, des étages intermédiaires et du rez-de-chaussée.

Une analyse temporelle permet d'élaborer des facteurs d'amplification pour l'accélération maximale des composants en fonction de la ductilité (Ar/Rp), soit le rapport entre l'accélération des composants et l'accélération du sol à différents niveaux de ductilité. Nous avons pu observer que les exigences en accélération diminuent de 40 % à 60 % lorsque la ductilité des composants passe de μ = 1,0 à μ  2,0 dans la plage de période de résonance. La figure 1 illustre les facteurs Ar/Rp calculés comme le ratio de la valeur maximale du spectre de plancher (PSA) divisé par l’accélération maximale de plancher (PFA) pour différents niveaux de ductilité, démontrant comment une ductilité accrue réduit l'amplification de l'accélération spectrale.

Analyse des données expérimentales montrant les variations de PSA/PFA en fonction de Tc/Tb1, avec différentes moyennes et écarts types.
Figure 1 Valeurs Ar/Rp moyennes aux toitures de bâtiments types à différents niveaux de ductilité : (a) μcomp=1, (b) μcomp=1,25, (c) μcomp=1,5, (d) μcomp=2

Intégrer les effets de la non-linéarité structurelle

Dans cette recherche, nous intégrons la non-linéarité structurelle par l'extraction des résultats de l'analyse pushover (analyse statique non linéaire), au moyen de rotules plastiques aux extrémités des poutres et des colonnes afin de capter un comportement de déformation réaliste. Dans cette partie de l'étude, nous avons calculé les facteurs de force des composants (Sp = PSA/PGA) pour différents niveaux de ductilité des fixations CNS, en tenant compte de la non-linéarité structurelle, afin de valider et d'affiner les formulations actuelles du code de conception des CNS.

Afin d'assurer une validation rigoureuse, 12 modèles de CNS détaillés représentant des plafonds suspendus et des refroidisseurs ont été créés à l'aide du modèle Ibarra-Medina-Krawinkler (IMK) (figure 2a). Le modèle reproduit fidèlement le comportement hystérétique, soit la dégradation de la résistance et la détérioration de la rigidité. Chaque modèle CNS est représenté par un système de ressorts en porte-à-faux (figure 2b) et associé à des composants spécifiques de la norme FEMA P-58 : plafonds suspendus non fixés (M1), plafonds avec renforts diagonaux à quatre câbles (M3), refroidisseurs anti-vibrations non fixés (M2) et refroidisseurs fixés contre les séismes (M4), avec trois variations paramétriques (a, b, c) par type de composant pour différentes échelles de fréquences (1,0 Hz à 9,0 Hz) et de ductilité (μ = 1,3 à 2,6).

Analyse des déformations en fonction du moment et de la rotation, avec des éléments de poutre et ressort rotatif.
Figure 2 Le modèle numérique comprend : (a) schéma hystérétique IMK, intégré à OpenSees, pour capturer le comportement cyclique (Ibarra, 2004 ; Lignos & Krawinkler, 2013) ; (b) schéma de modélisation CNS en porte-à-faux.

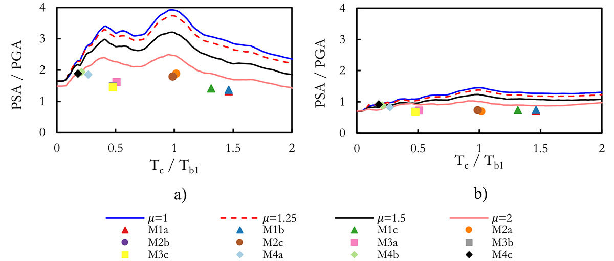
Cette analyse révèle que la non-linéarité structurelle a permis de réduire les demandes d'accélération de 67 % à 78 % pour les composants élastiques et de 9 % à 64 % pour les composants ductiles, par rapport aux hypothèses structurelles élastiques. Les approches actuelles des codes de construction élastiques surestimeraient donc considérablement les exigences sismiques des CNS. Les analyses ont identifié μ  1,5 (courbe noire continue dans la figure 3) comme le niveau de ductilité optimal qui offre la plus grande diminution des exigences en accélération sismique (ratios PSA/PGA), tout en représentant un niveau pratique et réalisable d'inélasticité pour les fixations courantes. La figure 3 illustre ces résultats avec des points de validation issus des modèles détaillés.

Analyse des réponses sismiques en fonction du rapport Tc/Tb1, illustrant différents modèles et valeurs de mu.
Figure 3 Valeurs moyennes PSA/PGA pour des bâtiments types à deux étages : (a) toit, (b) étage intermédiaire ; les marqueurs représentent les modèles de validation (M1-M4) tracés par rapport aux courbes proposées.

Conclusion

Cette recherche démontre que l'augmentation de la ductilité des fixations CNS, d'un état élastique (μ = 1,0) à un état hautement ductile (μ  2,0), peut réduire considérablement les exigences en accélération sismique de 40 % à 60 %, en particulier dans la plage critique de période de résonance. L'étude révèle que tenir compte du comportement non linéaire de la structure porteuse permet une réduction supplémentaire de la demande de 9 % à 64 % pour les composants ductiles et de 67 % à 78 % pour les composants élastiques.

Ces résultats confirment les avantages combinés des fixations ductiles et de la non-linéarité structurelle. La performance optimale a été déterminée à un niveau de ductilité des composants de μ  1,5, ce qui représente un équilibre pratique entre la réduction de la demande et la faisabilité de la conception. Cette conclusion remet en cause les dispositions actuelles de la norme CNB 2020, qui spécifient des valeurs constantes Rp de 2,50 pour les plafonds suspendus, de 1,25 pour les composants rigides des machines et de 2,50 pour les composants flexibles des machines, indépendamment de la ductilité réelle des fixations ou de la non-linéarité structurelle. Les résultats calculés des facteurs Ar/Rp et Sp servent de base à l’élaboration de nouveaux facteurs fiables en fonction de la ductilité, tenant compte à la fois de la ductilité des composants et de la non-linéarité structurelle pour arriver à une conception de CNS plus économique et plus sûre.

Liste des symboles techniques en grec et latin, avec définitions et unités pour des applications en ingénierie et en technologie.

Complément d'informations

Pour plus d'informations sur cette recherche et les références, veuillez vous reporter aux articles de recherche suivants :

  • Mehrjoo, M., & Assi, R. (2024). Proposed Reliable Peak Component Factors for Ductile Light NSCs Subjected to Horizontal Ground Motions. Bulletin of Earthquake Engineering. https://doi.org/10.1007/s10518-024-02081-x

  • Mehrjoo, M., & Assi, R. (2025a). Probabilistic Assessment of Seismic Acceleration Demands of Ductile Light NSCs in Moderately Ductile RC Frame Buildings. Https://doi.org/10.1016/j.engstruct.2025.120347 https://doi.org/10.1016/j.engstruct.2025.120347